Environment & Energy
Related: About this forumIf Biofuels Could Be Interesting, This One Would Top My List.
Many years ago, we had a poster here who was trying to sell ethanol as a wonder fuel, picking up on Jimmy Carter's idea that actually went industrial; most domestic gasoline contains ethanol. (No, it hasn't saved the world; since the 1970's the world is getting worse, faster, not better slowly.) That person went away, just as, it seems, knock on wood, the people running ads here to rebrand fossil fuels as "green hydrogen" went away.
Ethanol production has led to the decline of Louisiana seafood industries owing to the dead zones from eutrophication of the Mississippi delta and estuary from fertilizer runoff generated in Iowa.
Oh well then...
In theory, although not in practice, ethanol can be utilized to make tert-butyl alcohol, which has also had a short lifetime in the gasoline business as MTBE (methyl t-butyl ether), designed to reduce pollution as an oxygenate until people realized it was being extracted into water supplies. (I often used MTBE as a cosolvent in the lab when I was a kid; fun stuff to dry.)
Oh well then...
I'm always interested in carbon dioxide utilization (as opposed to carbon dioxide sequestration) and I came across this paper, which I'll briefly discuss: Microwave-Hydrochar in Synergy with CO2 for More Effective Etherification of Glycerol Jakaria Rambli, Armando T. Quitain, Jonas Karl Christopher N. Agutaya, Arthit Jarungwongsathien, Nao Takata, Suttichai Assabumrungrat, and Tetsuya Kida Industrial & Engineering Chemistry Research 2025 64 (50), 24007-24023.
It involves a kind of palm, Metroxylon sagu, "Sago," which is very fast growing, apparently well over a meter a year, the stems of which are apparently a major food source in New Guinea and Indonesia.
Food is fine, of course, but not quite as important in our times as jet fuel.
One may or may not be familiar with the fact that for many years I have been tracking the concentrations of the dangerous fossil fuel waste carbon dioxide here in a series of posts like this one: New Weekly CO2 Concentration Record Set at the Mauna Loa Observatory, 430.59 ppm.
This series of posts often contains language identical to other posts in the series (to save time) including this example:
For example, from the linked post in the series:
...Four of these readings exceed increases of 5.00 ppm, three of which were in 2024. Of the top 50 week to week/year to year comparators 24 have taken place in the last 5 years of which 13 occurred in 2024, 3 in 2025, 40 in the last 10 years, and 46 in this century.
Of the five readings from the 20th century, four occurred in 1998, when huge stretches of the Malaysian and Indonesian rainforests caught fire when slash and burn fires went out of control. These fires were set deliberately, designed to add palm oil plantations to satisfy the demand for "renewable" biodiesel for German cars and trucks as part of their "renewable energy portfolio." The only other reading from the 20th century to appear in the top 50 occurred in the week beginning August 21, 1988, which was 3.91 ppm higher than the same week of the previous year. For about ten years, until July of 1998, it was the highest reading ever recorded. It is now the 44th highest.
The bold was added here and not in the original.
Palm based "renewable biofuels," gotta love 'em, don't you?
One of the side products of producing biodiesel is glycerol, and so much of it is produced that it has become an almost worthless product; it is often dumped which is cheaper than sending it somewhere for use.
Don't worry. Be happy. A palm product is on your way to save the day!!!
From the paper about choosing biofuels over food for Indonesians and New Guineans:
While conventional catalysts such as acid-functionalized resins have been widely investigated, bioderived carbonaceous materials, particularly those sourced from agricultural waste, offer a more sustainable and cost-effective alternative. (7−9) Sago biomass, a largely underutilized resource, can be converted into hydrochar through hydrothermal carbonization (HTC), providing an eco-friendly, low-cost catalyst for the etherification reaction. (10−12) Our previous research demonstrated that microwave-assisted hydrothermal carbonization (MWHTC) of sago biomass yields hydrochar with enhanced catalytic properties compared to conventional HTC methods. (13) Building on these findings, this study explores the effect of pressurizing carbon dioxide (CO2) during the MWHTC process (at 1.5 MPa) to further enhance the hydrochars catalytic properties.
Microwave-assisted hydrothermal carbonization (MWHTC) has several advantages over conventional HTC, including faster and more uniform heating, shorter reaction times, and lower energy consumption. (14−17) Furthermore, pressurizing the system with CO2 during MWHTC increases the surface area and porosity of the hydrochar, thereby enhancing its catalytic properties. This approach facilitates the development of high-performance catalysts and supports carbon capture, aligning with the growing interest in environmentally sustainable catalyst preparation methods. (18−22) Our previous study on CO2-assisted MWHTC of sago biomass demonstrated that the hydrochars surface area increased from 10.05 to 51.07 m2 g-1, making it a promising material for glycerol etherification. (13)
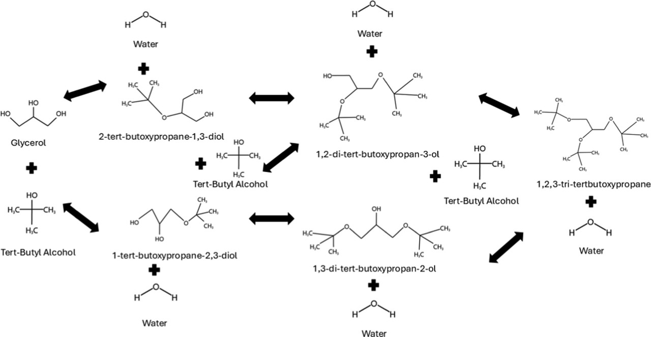
The etherification of glycerol with tert-butyl alcohol (TBA) follows a consecutive reaction pathway (see Figure 1), resulting in the formation of a mixture of mono-, di-, and tri-tert-butyl glycerol ethers. (21) This process is catalyzed by CO2-modified microwave hydrochar (M-H200 + CO2) and occurs under microwave-assisted conditions at a CO2 pressure of 1.5 MPa, 110 °C of temperature, and a TBA to glycerol molar ratio of 6:1...
A graphic from the paper:

The caption:
We're saved!!!
I'm being a bit disingenuous here, since the charred biomass is catalytic, and in theory, albeit not in practice, could be used indefinitely, in practice, depending on its nature, quite some time. When "spent" it would represent sequestered carbon, in effect, coal combustion in reverse, albeit on a comparatively miniscule scale.
I actually don't have a problem with porous carbons of this type, while acknowledging it will always be a trivial means of removing carbon from the atmosphere, I suppose one can say, "every little bit helps."
I trust you've had a pleasant weekend.